Selección de genotipos más eficientes para la olivicultura intensiva
Investigador Responsable: Juan Manuel Pérez Rodríguez
Equipo Investigador: Mª del Henar Prieto Losada; Encarnación Lara Carrasco
Líneas de trabajo: Olivicultura
Periodo: 2017-2021
Objetivo Principal: Disponer de una base material de la variabilidad genética en olivicultura, para atender demandas de información del sector olivarero extremeño y sobre la que poder realizar estudios que conduzcan a establecer los mecanismos fisiológicos que proporcionan a las plantas de olivo, una ventaja adaptativa en condiciones de limitada disponibilidad de recursos, desde el punto de vista de la productividad.
- Mantener el ensayo de selección de variedades de olivo actualmente recomendadas para sistemas superintensivos y estudiar el comportamiento tanto con un riego que satisfaga necesidades hídricas, como cuando se aplican estrategias de riego deficitario moderadas.
- Establecer una plantación “nuclear” de olivo con una buena representación de la variabilidad genética disponible en esta especie, como base para los estudios ecofisiológicos de respuesta al déficit hídrico.
- Disponer de una colección en plantación intensiva de las variedades más cultivadas en España (y Extremadura) de aceituna de mesa y almazara.
- Todos estos ensayos son en sí parcelas de demostración para agricultores, técnicos y estudiantes de agricultura y olivicultura en las diferentes visitas que se realizan en el Centro.
Resultados variedades de seto:
Artículo 1: Articulo vida rural variedades final.pdf
Artículo 2: RESPUESTA DE LA ESTRATEGIA DE RIEGO EN 6 VARIEDADES PARA OLIVAR SUPERINTENSIVO ADULTO.pdf
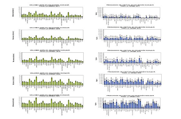
Resultados de colección intensiva nuclear: En el ensayo en la parcela intensiva de la colección nuclear se ha realizado durante estos 5 años de ensayo medidas de control el tamaño de los olivos (figura 1) y de la producción en la producción de cada una de las variedades de la colección (figura 2), llegando a 2021 al quinto año productivo. La plantación de olivar se estableció en el otoño del 2013 y está constituida por 36 variedades con 8 árboles por variedad en un marco intensivo de 7x5 m y también en orientación N-S sobre un caballón y con un sistema de riego por goteo. El diseño empleado es de 8 repeticiones por variedad en un diseño completamente aleatorizado constituidos por 1 planta por variedad

Figura 1: Volumen de copa en colección nuclear. Finca La Orden 2017-2021. Cada punto es el promedio de 6 árboles y las barras representan el error estándar de la media.:
Figura 2: Producción de aceitunas en colección nuclear. Finca La Orden 2017-2021. Cada punto es el promedio de 6 árboles y las barras representan el error estándar de la media.:
Se observa en ambos gráficos que tenemos una gran variabilidad tanto en el vigor de las variedades empleadas como en la entrada y producción de cada una de ellas. En el año 2021 encontramos ya variedades con altas producciones en torno a los 17.000 kg/ha, mientras que para ese mismo año hay variedades que apenas han alcanzado los 2.000 kg/ha. La variedad manzanilla cc no se puede tener en cuenta ya que fue puesta en años posteriores debido al fallo de la variedad que a priori iba en la colección.
Transferencia
Financiación: FEDER Proyecto estratégico AGROS
